EN
最新消息
中心公告
研討會訊息
其他公告
演講公告
新人會議投影片
活動花絮
徵才訊息
關於中心
中心概述
執行委員暨期刊委員
地科領域通訊錄
操作說明
各類補助
國際科技人士短期訪問
國內學術研討會
微議程會議
相關下載
審查結果
購買單篇論文補助
圖書期刊
電子期刊
購買單篇論文補助
Token補助單篇期刊論文
地區圖書期刊服務
館際合作服務
電子學術資源
活動專區
台灣之夜
論文獎勵
新人會議
意見調查表
聚焦地科
研究成果亮點
領域專欄
統計分析資訊
海外合作交流活動
電子報
電子報
影音專區
研究成果分享
電子學術資訊
活動/演講
微電影
圖書期刊宣傳影片
微電影
首頁
最新消息
關於中心
中心概述
審議委員
地科領域通訊錄
各類補助
國際科技人士短期訪問
國內學術研討會
相關下載
圖書期刊
電子期刊
地區圖書期刊服務
購買單篇論文補助
館際合作服務
活動專區
台灣之夜
論文獎勵
新人會議
徵才專區
廠商徵才
個人求職
聚焦地科
研究成果亮點
領域專欄
海外合作交流活動
統計分析資訊
影音專區
研究成果分享
電子學術資訊
活動/演講
微電影
圖書期刊宣傳影片
電子報
English
華信光電將參加日本國際雷射加工技術展 Photonix 2016, 歡迎您的來訪!!
確認
取消
Focus
聚焦地科
home
/
聚焦地科
/ 詳細頁
聚焦地科
聚焦地科
2025-10-03
中央大學建立PM2.5成分時空模型 助益空污治理與公衛健康
2021年6月至2022年5月期間PM2.5中12個元素成分的濃度分布(Huang et al., 2025)。林唐煌主任提供
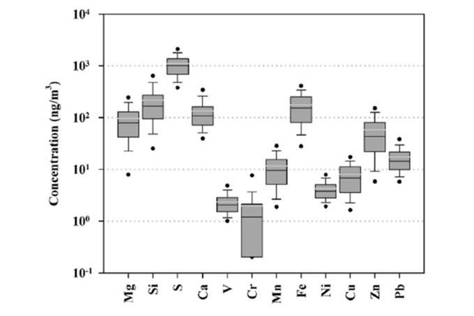
中央大學太空及遙測研究中心林唐煌教授與臺灣大學公共衛生學院吳章甫教授、國內多所大學及學術研究機構合作,並獲得國科會與教育部高教深耕計畫的支持,利用機器學習技術建立臺灣本島PM2.5元素成分的時空分布模型,可大幅提升醫師在空氣污染所導致眾多疾病的主因診斷,對於精準環境醫學與生物科技新知有重要突破,最新研究成果近日發表於國際期刊 Atmospheric Pollution Research.
空氣污染對人體健康影響日益嚴重,細懸浮微粒(PM2.5)能深入人體呼吸道並進入血液循環,對心肺與全身健康造成威脅。PM2.5的毒性與健康風險不僅取決於總濃度,更與其內含的化學元素組成密切相關。林唐煌教授的團隊針對臺灣本島28個空氣品質監測站,自2021年6月至2022年5月,蒐集涵蓋四季的 PM2.5 樣本,並分析其中12種元素(包括鉛、鎳、鐵、硫等)之濃度變化。研究團隊結合兩種模型技術:典型統計「廣義相加模型(GAM)」用以移除氣象因子造成的PM2.5成分時間變異,再以機器學習「極限梯度提升法(XGBoost)」分析剩餘變異與土地利用型態(如工業、道路、綠地)、地形及周邊排放源等空間變數之關聯性。透過此「集成式模型」得以更全面地捕捉PM2.5元素成分的高解析度時空分布,並探索污染來源的可能性。
研究結果凸顯不同污染源對PM2.5成分分布的影響,例如鉛(Pb)元素具健康效應。研究發現鉛的濃度分布主要受到工業建築用地和道路長度影響。此外,研究亦發現硫(S)、鈣(Ca)、鎳(Ni)與鉛(Pb)元素的高濃度地區集中於臺灣中南部,顯示應針對當地潛在污染源加強監控與管理。
林唐煌教授表示,整合典型統計與機器學習在環境健康研究中有相當的應用潛力,有助於政府在區域性空污減量政策制定及熱點監控上,提供重要參考依據,對環境污染監測與公共衛生風險評估帶來重要貢獻。未來研究團隊將進一步結合風險資料,深入探討空污成分對大眾健康的影響。
2019年至2022年台灣地區大氣系懸浮微粒PM2.5的離子成分占比。林唐煌主任提供
台灣地區PM2.5中K+成分的濃度分布,2022年3月(Huang et al., 2025)。林唐煌主任提供
本文轉載自國立中央大學新聞網,連結如下:
https://ncusec.ncu.edu.tw/news/headlines_content.php?H_ID=4541
臺灣第一件海龜化石:全球極為稀有的更新世赤蠵龜
上一則
全球升溫1.5°C防線即將失守! 科學家示警:碳預算剩2年
下一則
回列表頁